by Dylan Ahearn and Joy Michaud, Herrera Environmental Consultants
As many Waterline readers know, Herrera Environmental Consultants has been advancing lake science and management and advocating for Washington lakes since the company’s inception over 30 years ago. Waterline readers may not know that Herrera has also been leading much of the regional research on stormwater treatment technology and design. Our recent groundbreaking research into improving nutrient removal of bioretention cells (i.e., roadside swales) combines our stormwater expertise with lake management needs.
In the stormwater world, bioretention refers to stormwater treatment that relies on a treatment “media” made up of inorganic material (such as soil and sand) and organic material (such as compost), as well as plants to filter pollutants from stormwater. There are many benefits to using bioretention: it’s attractive, simple, flexible, and reduces many pollutants. But there is one big problem— our research showed that the compost widely used in the bioretention media exports phosphorus, nitrogen, and copper. Specifically, our numerous lab and full-scale field studies of compost-based bioretention indicate that the runoff exiting the systems has total phosphorus concentrations ~ 60% higher than the concentrations in the incoming stormwater1. This export is most acute when the systems first go online and the media is still “flushing.” During the first few months of operation, effluent TP concentrations are an order of magnitude greater than influent2. This phosphorus export is such a concern that Ecology prohibits the use of traditional bioretention within ¼ mile of a phosphorus-sensitive waterbody…like your lake! Enter Herrera scientists and our ongoing research to improve performance of bioretention media.
To address the problem, Ecology funded a series of studies aimed at developing a treatment media that did not export metals or phosphorus. These studies were led by Kitsap County and Herrera and supported by a large advisory group of stormwater experts. In the first phase, 50 potential media components were evaluated, including various sands, organic components, and other additives. Laboratory studies were used to determine which components leach nutrients and which sorb the most nutrients. The winners were: lava sand, compost, iron filings, biochar, activated alumina, and coconut coir.
Next,3 we evaluated the best mix of these components. In addition to removing or not increasing pollutants, they needed to allow water to flow through them and to grow plants.
Working with UW’s Center for Urban Horticulture, we mixed eight different blends, potted them up with a sedge commonly used in bioretention cells, and then tracked stem height and number. Those blends with compost supported the most vigorous plant growth. However, blends that used a combination of coconut coir and wood ash instead also supported plant growth.
At the same time, we conducted a field study with the City of Redmond that included six different media blends installed in full size bioretention cells4. This study confirmed that treatments with compost leached phosphorus and that those using coconut coir supported good plant growth while not leaching phosphorus.
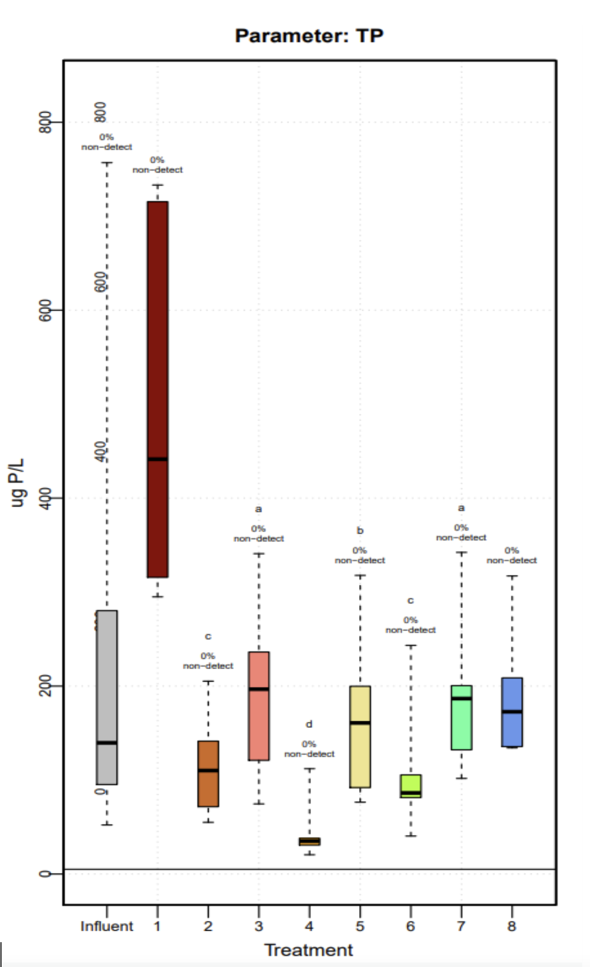
In the final phase of the Ecology lab studies5, we combined the best performing media components in different ratios and configurations, evaluated their hydraulic performance to ensure they did not flush water too quickly or too slowly, and measured their pollutant removal. The different combinations were compared with the existing Ecology-approved media blend of 60 percent ‘ecology’ sand and 40 percent compost. In total, eight different combinations were tested.
These results confirmed that the existing approved blend of ecology sand and compost leached large quantities of phosphorus (Treatment #1 in graph below), but with a polishing layer added to the bottom (Treatment #2 in graph below), phosphorus was slightly reduced compared to the stormwater inflow. The blend made up of volcanic sand, coconut coir, and wood ash that included both an upper mulch layer of compost and a bottom polishing layer of activated alumina and iron aggregate (Treatment #4 in graph below) was by far the best performer.
Success! As a result of these studies, Ecology approved a “high performance bioretention soil media” or HPBSM consisting of 70% sand, 20% coir, and 10% biochar by volume in an 18-inch primary layer for removing suspended solids and metals. To achieve at least 50% phosphorus removal, a 12-inch polishing layer must be added consisting of 90% sand, 7.5% activated alumina, and 2.5% iron aggregate by volume. A two-inch compost surface layer is added to achieve all water quality objectives. With this new Ecology approval, bioretention can be used to remove phosphorus from stormwater near your lake. Follow up full-scale research on bioretention media is being performed for Seattle Public Utilities and the City of Bellingham with help from Herrera. Look to future editions of Waterline for updates.
___________________________
1(Herrera 2014) https://tinyurl.com/ypujepfp (Flury et al. 2015) https://tinyurl.com/ru5ymw <
2(Herrera 2015a) https://tinyurl.com/prpm3r8x<
3(Herrera 2017) https://tinyurl.com/wv3naeay
4(Herrera 2015a) https://tinyurl.com/prpm3r8x
5(Herrera 2020) https://tinyurl.com/udzf56xx















